Empfehlungen
A   B   C   D   E   F   G   H   I   J   K   L   M   N   O   P   Q   R   S   T   U   V   W   X   Y   Z  
  Home Top 10 Fachbereiche News Hilfe & FAQ
 

I-S-Gleichgewicht

basiert auf der quantitativen Übereinstimmung von geplanter (Netto-) Investition und - geplanter Ersparnis (Abb.; unter der Voraussetzung einer geschlossenen Volkswirtschaft). Das Gleichgewichtseinkommen Y° ist in diese Bedingung eingebettet:
I-S-Gleichgewicht Die Existenz des Gleichgewichts ist sichergestellt, wenn s #
0. Ein sinnvolles, nämlich positives Gleichgewichtseinkommen Y° setzt bei positiver Nettoinvestition 0 < s voraus. Soll über die Investition hinaus Raum für Nachfrage, z.B. Konsumnachfrage, bleiben, muss gelten: 0 < s <
1. Unter dieser Bedingung ist auch die Stabilitdt des Gleichgewichts gewährleistet, sofern man von einem Anpassungsprozess ausgehen kann, der sich folgendermaßen beschreiben läßt:
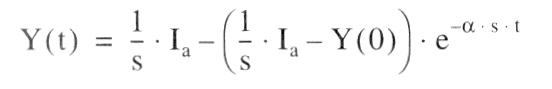
I-S-Gleichgewicht Die Lösung mit dem Anfangswert Y
(0) lautet:
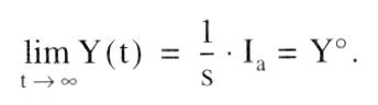
I-S-Gleichgewicht Wenn Produktion und Einkommen positiv auf einen Investitionsüberhang reagieren (0 < a), dann gewährleistet 0 < s das Erreichen des Grenzwerts Literatur: Dornbusch, R., Fischer S. (1995). Klatt, S. (1989). Richter, R., Schlieper, U., Friedmann, W. (1988). Stobbe, A. (1987). Bender, D. u.a. (1999)

Vorhergehender Fachbegriff: I-Punkt | Nächster Fachbegriff: I-S-Gleichheit



  Diesen Artikel der Redaktion als fehlerhaft melden & zur Bearbeitung vormerken

   
 
 

   Weitere Begriffe : Organisationsgestaltung | Investitionssteuerung | Galionsfigur

   Praxisnahe Definitionen

Nutzen Sie die jeweilige Begriffserklärung bei Ihrer täglichen Arbeit. Jede Definition ist wesentlich umfangreicher angelegt als in einem gewöhnlichen Glossar.

  Marketing

  Definition

  Konditionenpolitik

   Fachbegriffe der Volkswirtschaft

Die Volkswirtschaftslehre stellt einen Grossteil der Fachtermini vor, die Sie in diesem Lexikon finden werden. Viele Begriffe aus der Finanzwelt stehen im Schnittbereich von Betriebswirtschafts- und Volkswirtschaftslehre.

  Investitionsrechnungen

  Marktversagen

  Umsatzsteuer

   Beliebte Artikel

Bestimmte Erklärungen und Begriffsdefinitionen erfreuen sich bei unseren Lesern ganz besonderer Beliebtheit. Diese werden mehrmals pro Jahr aktualisiert.

  Cash Flow

  Bausparen

  Fremdwährungskonto


     © 2023-2024 Wirtschaftslexikon24.com       All rights reserved.      Home  |  Datenschutzbestimmungen  |  Impressum  |  Rechtliche Hinweise
Aktuelles Wirtschaftslexikon