Empfehlungen
A   B   C   D   E   F   G   H   I   J   K   L   M   N   O   P   Q   R   S   T   U   V   W   X   Y   Z  
  Home Top 10 Fachbereiche News Hilfe & FAQ
 

Interner Zins

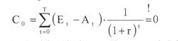
(Investitionsrechnung) Der interne Zins gehört zu den klassischen Partialmodellen der dynamischen In­vestitionsrechnung (Investitionsrechnungen, dynamische). Seine Berechnung baut auf dem   Kapi­talwert Co auf. Die im Zeitablauf t anfallenden Einzahlungen Et sowie Auszahlungen At werden durch Diskontierung über die ganze Nutzungsdauer T der Investition zum Kapitalwert im Zeitpunkt Null, dem Beginn des Planungszeitraums, verdichtet. Ermittelt wird der interne Zins r, bei dem sich ein Ka­pitalwert von Null ergibt. Formal gilt: Zur Ermittlung des internen Zinses muss ein Polynom T-ten Grades aufgelöst werden. Dies ist nur in Sonderfällen (z.B. T 2) relativ einfach möglich. In den anderen Fällen bietet sich die Ermittlung einer
Interner Zins Näherungslösung i durch lineare Interpolation an. Zuerst werden für zwei (willkürlich gewählte) Zins­sätze i1 und i2 die Kapitalwerte C01 und CO2 ermittelt. Als Näherungslösung ergibt sich dann: Eine nach dem Kriterium interner Zins beurteilte Einzelinvestition ist vorteilhaft, wenn der interne Zins grösser als der Kapitalmarktzins ist. Bei der Auswahlentscheidung zwischen mehreren Investitionen ist diejenige zu wählen, die zu dem grössten internen Zins führt. Siehe auch  Investitionsrechnungen (Investitionsentscheidungen), statische bzw. dynamische bzw. unter Unsicherheit sowie  Investitionswirtschaft, jeweils mit Literaturangaben.

Vorhergehender Fachbegriff: Interner Verrechnungspreis | Nächster Fachbegriff: interner Zinsfuß



  Diesen Artikel der Redaktion als fehlerhaft melden & zur Bearbeitung vormerken

   
 
 

   Weitere Begriffe : Buy in | Unabhängige Beratung | Qualitätssicherungsvereinbarungen

   Praxisnahe Definitionen

Nutzen Sie die jeweilige Begriffserklärung bei Ihrer täglichen Arbeit. Jede Definition ist wesentlich umfangreicher angelegt als in einem gewöhnlichen Glossar.

  Marketing

  Definition

  Konditionenpolitik

   Fachbegriffe der Volkswirtschaft

Die Volkswirtschaftslehre stellt einen Grossteil der Fachtermini vor, die Sie in diesem Lexikon finden werden. Viele Begriffe aus der Finanzwelt stehen im Schnittbereich von Betriebswirtschafts- und Volkswirtschaftslehre.

  Investitionsrechnungen

  Marktversagen

  Umsatzsteuer

   Beliebte Artikel

Bestimmte Erklärungen und Begriffsdefinitionen erfreuen sich bei unseren Lesern ganz besonderer Beliebtheit. Diese werden mehrmals pro Jahr aktualisiert.

  Cash Flow

  Bausparen

  Fremdwährungskonto


     © 2023-2024 Wirtschaftslexikon24.com       All rights reserved.      Home  |  Datenschutzbestimmungen  |  Impressum  |  Rechtliche Hinweise
Aktuelles Wirtschaftslexikon