Empfehlungen
A   B   C   D   E   F   G   H   I   J   K   L   M   N   O   P   Q   R   S   T   U   V   W   X   Y   Z  
  Home Top 10 Fachbereiche News Hilfe & FAQ
 

Kleinste-Quadrate-Schätzung

Schätzmethode in der Dependenzanalyse. Beruht auf dem Prinzip, die Summe der qua­dratischen Abweichungen der Beobach­tungswerte von ihrem Mittelwert zu mini­mieren. Klassischer Anwendungsbereich ist die Regressionsanalyse. Unter den Annahmen des Regressionsmodells gilt es Schätzwerte für die Parameter zu finden, die bei dem Modell
Kleinste-Quadrate-Schätzung die Summe der quadratischen Abweichun­gen zwischen Beobachtungswert und Schätzwert für y minimiert, d.h. bilden wir Differenzen ei = y; - yi zwischen den Schätz­werten und den Stichprobenwerten, dann lautet das Prinzip der Kleinsten-Quadrate
Kleinste-Quadrate-Schätzung Um die Werte von ßo und ßi zu ermitteln, muss S nach ßo und ßi differenziert werden:
Kleinste-Quadrate-Schätzung Durch Vereinfachung der Gleichungen und Nullsetzen können die sog. Normalglei­chungen für kleinste Quadrate Schätzer in der Regressionsanalyse gebildet werden:
Kleinste-Quadrate-Schätzung haben. Die Lösung für b ist über die Glei­chung (12) zu berechnen
Kleinste-Quadrate-Schätzung wobei die Matrixelemente die Struktur ergibt. Ist bi festgelegt, kann für ßo der Schät­zer bo gefunden werden:
Kleinste-Quadrate-Schätzung bzw. nach Umformung und Vereinfachung aus
Kleinste-Quadrate-Schätzung
Kleinste-Quadrate-Schätzung
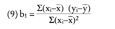
Kleinste-Quadrate-Schätzung Die Gleichungen werden nach bo und bi auf­gelöst, wobei sich bi aus
Kleinste-Quadrate-Schätzung bo ist hierbei das absolute Glied und bi die Steigung der Regressionsgeraden. Geht man zum multiplen Regressionsmodell über, dann ergeben sich die Normalgleichungen mit (12)b = (X’X)-‘(X’x). Die Methode der Kleinsten-Quadrate Schät­zung liefert Blue-Schätzer.        Literatur; Kmenta,]., Elements of Econometrics, 2. Aufl., New York 1986. Schneeweiß, H., Ökono­metrie, Würzburg 1971.

Siehe Methode der kleinsten Quadrate

Vorhergehender Fachbegriff: Kleinste-Quadrate-Methode | Nächster Fachbegriff: Klickrate



  Diesen Artikel der Redaktion als fehlerhaft melden & zur Bearbeitung vormerken

   
 
 

   Weitere Begriffe : Entscheidung, konstitutive | Amazonaspakt | Impairment Test

   Praxisnahe Definitionen

Nutzen Sie die jeweilige Begriffserklärung bei Ihrer täglichen Arbeit. Jede Definition ist wesentlich umfangreicher angelegt als in einem gewöhnlichen Glossar.

  Marketing

  Definition

  Konditionenpolitik

   Fachbegriffe der Volkswirtschaft

Die Volkswirtschaftslehre stellt einen Grossteil der Fachtermini vor, die Sie in diesem Lexikon finden werden. Viele Begriffe aus der Finanzwelt stehen im Schnittbereich von Betriebswirtschafts- und Volkswirtschaftslehre.

  Investitionsrechnungen

  Marktversagen

  Umsatzsteuer

   Beliebte Artikel

Bestimmte Erklärungen und Begriffsdefinitionen erfreuen sich bei unseren Lesern ganz besonderer Beliebtheit. Diese werden mehrmals pro Jahr aktualisiert.

  Cash Flow

  Bausparen

  Fremdwährungskonto


     © 2023-2024 Wirtschaftslexikon24.com       All rights reserved.      Home  |  Datenschutzbestimmungen  |  Impressum  |  Rechtliche Hinweise
Aktuelles Wirtschaftslexikon