Empfehlungen
A   B   C   D   E   F   G   H   I   J   K   L   M   N   O   P   Q   R   S   T   U   V   W   X   Y   Z  
  Home Top 10 Fachbereiche News Hilfe & FAQ
 

Inputkoeffizient

Input-Output-Tabelle

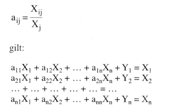
(= Produktionskoeffizient) Quotient aus dem effizienten Input i und dem Output in einem Produktionsprozess j. Ein Inputkoeffizient besagt, wieviel ein Sektor j von einem Sektor i beziehen muß, um 1 Einheit seines Produktes (j) produzieren zu können. Man unterscheidet Vorleistungskoeffizienten und Primäraufwandskoeffizienten:
Inputkoeffizient (a, = Inputkoeffizient des i-ten Vorleistungsgutes, d.h. bezogen von Sektor i, für den Sektor j; X; = effizienter Input des Produktionsprozesses in Sektor j, bezogen von Sektor i; Xi = Gesamtoutput (= Produktionswert) der Produktion in Sektor j) Zu den Primäraufwandskoeffizienten zählt z.B. der Abschreibungskoeffizient di des Sektors j:
Inputkoeffizient (Di = Abschreibungen des Sektors j) Analog hierzu sind weitere Primäraufwandskoeffizienten zu konstruieren, z.B. Lohnkoeffizienten,  Steuerkoeffizienten usw.
Inputkoeffizient Im Kontext der Input-Output-Analyse werden die Inputkoeffizienten als technologisch bestimmt und konstant angenommen (Limitationalität). Je nach zugrundeliegendem Tabellentypus der Analyse beinhalten die Vorleistungen die Importe (= Tabellen-Version A), so dass die X;i in diesem Falle die technisch bedingten Einsatzmengen spiegeln, unabhängig davon, ob die betreffenden Vorleistungsgüter im Inland oder im Ausland produziert wurden, oder schließen sie aus, so dass die X;i lediglich die inländisch produzierten Vorleistungsgüter umfassen und die Importe als Zeile des Primäraufwands erscheinen (B-Version der Input-Output-Tabelle). Im ersteren Fall spricht man von technischen Koeffizienten, im zweiten Fall von regionalen Koeffizienten. Im Falle linear-homogener, substitutionaler - Produktionsfunktionen sind die Inputkoeffizienten ökonomische Konstante, sofern nur ein knapper Primärfaktor existiert, alle anderen Faktoren dagegen reproduzierbar sind. Das - SAMUELSON-Theorem belegt die Konstanz der Inputkoeffizienten für diesen Fall. In allen anderen Fällen sind die Inputkoeffizienten Variable, die von der Höhe des Gesamtoutputs und den Faktorpreisen abhängen. Inputkoeffizienten können als reine Mengenrelationen oder als dimensionslose Quotienten von Werten definiert werden. Im letzteren Fall spiegeln sie einfach die Kostenstruktur eines Produktionsprozesses wider. Literatur: Holub, H.W., Schnabl, H. (1994)

Vorhergehender Fachbegriff: Input-Output-Tabelle | Nächster Fachbegriff: Inputkorrespondenz



  Diesen Artikel der Redaktion als fehlerhaft melden & zur Bearbeitung vormerken

   
 
 

   Weitere Begriffe : EXTRA-Handel | Rückwärtskoppelung | duale Entscheidungshypothese

   Praxisnahe Definitionen

Nutzen Sie die jeweilige Begriffserklärung bei Ihrer täglichen Arbeit. Jede Definition ist wesentlich umfangreicher angelegt als in einem gewöhnlichen Glossar.

  Marketing

  Definition

  Konditionenpolitik

   Fachbegriffe der Volkswirtschaft

Die Volkswirtschaftslehre stellt einen Grossteil der Fachtermini vor, die Sie in diesem Lexikon finden werden. Viele Begriffe aus der Finanzwelt stehen im Schnittbereich von Betriebswirtschafts- und Volkswirtschaftslehre.

  Investitionsrechnungen

  Marktversagen

  Umsatzsteuer

   Beliebte Artikel

Bestimmte Erklärungen und Begriffsdefinitionen erfreuen sich bei unseren Lesern ganz besonderer Beliebtheit. Diese werden mehrmals pro Jahr aktualisiert.

  Cash Flow

  Bausparen

  Fremdwährungskonto


     © 2023-2024 Wirtschaftslexikon24.com       All rights reserved.      Home  |  Datenschutzbestimmungen  |  Impressum  |  Rechtliche Hinweise
Aktuelles Wirtschaftslexikon