Empfehlungen
A   B   C   D   E   F   G   H   I   J   K   L   M   N   O   P   Q   R   S   T   U   V   W   X   Y   Z  
  Home Top 10 Fachbereiche News Hilfe & FAQ
 

relative Einkommenshypothese

Einkommenshypothesen

Hypothese, dass nicht so sehr das absolute Einkommen (absolute Einkommenshypothese), sondern das relative Einkommen der Konsumenten, d.h. ihre Stellung in der Einkommenspyramide, die Konsumentscheidungen beeinflußt. Im Gegensatz zur absoluten Einkommenshypothese betont sie damit die Interdependenz aller Konsumentscheidungen. Dieser langfristige Effekt (Demonstrations-Effekt) überlagert den kurzfristigen Effekt der Konsumgewohnheiten, d.h. das Festhalten an einem einmal erreichten Konsumstandard. Während bereits mit dem ROBERTSON-lag versucht wird, Verzögerungswirkungen zu berücksichtigen, wird die Kombination des langfristigen Effekts der Konsuminterdependenzen mit dem kurzfristigen Effekt der Konsumgewohnheiten erstmals von James S. DUESENBERRY (1948) und Franco MODIGLIANI (1949) vorgenommen. DUESENBERRY geht davon aus, dass eine Steigerung des Gesamteinkommens bei konstanter Einkommensverteilung eine Einkommenssteigerung aller gesellschaftlichen Gruppen bedeutet. Die Mitglieder dieser Gruppen werden zunächst glauben, ihre Stellung innerhalb der Einkommenspyramide verbessert zu haben, und werden entsprechend ihre durchschnittliche Konsumquote senken, wie empirische Untersuchungen zu bestätigen scheinen. Da alle Gruppenmitglieder das Gefühl einer relativen Einkommensverbesserung haben, wird sich auch gesamtwirtschaftlich eine sinkende durchschnittliche Konsumquote ergeben. Das gilt jedoch nur kurzfristig, denn langfristig wird jedem Konsumenten die Konstanz der Einkommensverteilung bewußt, und er wird wieder zur früheren durchschnittlichen Konsumquote zurückkehren. Langfristig ergibt sich daraus eine Konstanz der durchschnittlichen Konsumquote. Bei kurzfristigen Einkommenssenkungen in Rezessionsphasen dagegen werden die Konsumenten sich nur schwer von ihrem einmal erreichten Konsumstandard trennen können. Das veranlaßt sie zu einer bei sinkendem Einkommen zunächst steigenden durchschnittlichen Konsumquote, und zwar in Abhängigkeit vom Verhältnis des laufenden zum höchsten bisher erreichten Einkommen (Maximaleinkommen). Langfristig dagegen werden sie gezwungen sein, ihre Konsumausgaben an das niedrigere langfristige Einkommen anzupassen, so dass die durchschnittliche Konsumquote langfristig konstant bleibt. Der gesamte Vorgang wird nach der geometrischen Darstellung der Hypothese auch als ratchet effect (Sperrklinkeneffekt) bezeichnet:
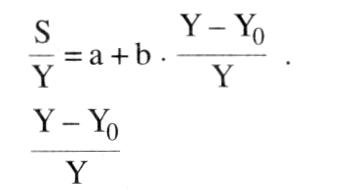
relative Einkommenshypothese Als Konsum- bzw. Sparfunktion verwendet DUESENBERRY:
relative Einkommenshypothese Unter der Annahme eines langfristig konstanten Wachstums von Y bleibt Y/Y0 und damit auch die durchschnittliche Konsumquote konstant
relative Einkommenshypothese Bei kurzfristigen Einkommenssenkungen unter Yo steigt die durchschnittliche Konsumquote. MODIGLIANI verwendet die Funktion:
relative Einkommenshypothese ist der »zyklische Einkonunensindex». Er bleibt bei konstantem Wachstum von Y konstant und sinkt bei kurzfristigen Einkommenssenkungen. Tom E. DAVIS (1952) ersetzt das Maximaleinkommen durch den Maximalkonsum. Literatur: Richter, R., Schlieper, U., Friedmann, W. (1981). Duesenberry, J.S. (1967)

In der im Rahmen seiner Theorie des Konsumenten­verhaltens entwickelten relativen Einkommens­hypothese geht J. S. Duesenberry in Analogie zur Theorie der relativen Deprivation davon aus, dass die Konsumquote weniger von der abso­luten Höhe als von der relativen Position des ein­zelnen in der Einkommenspyramide und der Höhe seines zuvor bezogenen Einkommens ist. Bei Einkommensveränderungen und insbeson­dere bei sinkendem relativem Einkommen tritt danach ein Gewohnheitseffekt ein, der in einem Einklinken der bisherigen Konsumquote an dem durch das höchste letzte Einkommen ermöglich­ten Niveau besteht (Einklinkeffekt).
Dieser Vorstellung liegt die Hypothese zugrunde, dass die Konsumquote nicht allein von der abso­luten Höhe des Einkommens, sondern stärker noch von der Stellung des einzelnen in der sozia­len Einkommensstufenleiter und von der Höhe des zuvor bezogenen Einkommens und den da­durch eingetretenen Gewohnheiten bestimmt wird. Die Menschen richten ihre Lebenshaltung also sowohl an der Lebenshaltung von Ver­gleichspersonen wie an ihrer eigenen gewohnten Lebenshaltung aus. “Die relative Einkommenshy­pothese setzt voraus, dass die Person ihren Kon­sumstandard aus dem in der Gesellschaft ver­breiteten bezieht sowie etablierte Konsumge­wohnheiten als Norm internalisiert”. (Burkhard Strümpel/George Katona)
vgl. Dauereinkommenshypothese

Vorhergehender Fachbegriff: relative Deprivation | Nächster Fachbegriff: relative Einzelkosten



  Diesen Artikel der Redaktion als fehlerhaft melden & zur Bearbeitung vormerken

   
 
 

   Weitere Begriffe : Wahltarif | Vermögensstruktur | Marketingleistung

   Praxisnahe Definitionen

Nutzen Sie die jeweilige Begriffserklärung bei Ihrer täglichen Arbeit. Jede Definition ist wesentlich umfangreicher angelegt als in einem gewöhnlichen Glossar.

  Marketing

  Definition

  Konditionenpolitik

   Fachbegriffe der Volkswirtschaft

Die Volkswirtschaftslehre stellt einen Grossteil der Fachtermini vor, die Sie in diesem Lexikon finden werden. Viele Begriffe aus der Finanzwelt stehen im Schnittbereich von Betriebswirtschafts- und Volkswirtschaftslehre.

  Investitionsrechnungen

  Marktversagen

  Umsatzsteuer

   Beliebte Artikel

Bestimmte Erklärungen und Begriffsdefinitionen erfreuen sich bei unseren Lesern ganz besonderer Beliebtheit. Diese werden mehrmals pro Jahr aktualisiert.

  Cash Flow

  Bausparen

  Fremdwährungskonto


     © 2023-2024 Wirtschaftslexikon24.com       All rights reserved.      Home  |  Datenschutzbestimmungen  |  Impressum  |  Rechtliche Hinweise
Aktuelles Wirtschaftslexikon