Empfehlungen
A   B   C   D   E   F   G   H   I   J   K   L   M   N   O   P   Q   R   S   T   U   V   W   X   Y   Z  
  Home Top 10 Fachbereiche News Hilfe & FAQ
 

Grenzumsatz

Siehe Grenzerlös

grenzumsatz(Grenzerlös) Veränderung des Umsatzes U = p • x (Preis p • Menge x) eines Anbieters bei einer infinitesimal kleinen Änderung der von ihm abgesetzten Menge. Formal wird der Grenzumsatz durch Differentiation der Umsatzgleichung nach x ermittelt. Innerhalb eines Marktes lassen sich Grenzumsatz und Grenzausgaben als Pendant interpretieren, jeweils aus der Perspektive der Marktgegenseite betrachtet. Der Wert des Grenzumsatzes dU/dx hängt vom Verlauf der Nachfragefunktion des betreffenden Gutes ab. Bei einer direkten Preiselastizität der Nachfrage 8 von kleiner, grösser oder gleich Eins im relevanten Punkt ist der Grenzumsatz dU/dx negativ, positiv oder 0. Dieser Sachverhalt ergibt sich aus der Amoroso-Robinson-Relation. Literatur: Fehl, U./Oberender, P., Grundlagen der Mikroökonomie, 5. Aufl., München 1992, S. 15, 36 f.

Grenzerlös, Grenzumsatz ist die Umsatzzunahme durch Mehrabsatz einer Mengeneinheit.

Oder:
Umsatzabnahme durch Minderabsatz einer Mengeneinheit.

Problem:

(1) Bei konstantem Marktpreis ist der Grenzerlös, Grenzumsatz mit dem Produktpreis identisch.

(2) Können zusätzliche Mengen nur zu sinkenden Preisen verkauft werden, so liegt der Grenzerlös, Grenzumsatz unter dem Marktpreis.

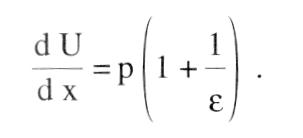
(= Grenzerlös) Veränderung des Umsatzes U = p x (Preis p, Menge x) eines Anbieters, die durch eine Erhöhung seines Absatzes x um eine Mengeneinheit bewirkt wird. Durch die AMOROSOROBINSON-Relation wird ein Zusammenhang zwischen Grenzumsatz dU/dx und direkter Preiselastizität der Nachfrage e hergestellt:
Grenzumsatz

Vorhergehender Fachbegriff: Grenzsteuersatz | Nächster Fachbegriff: Grenzumsatzprodukt



  Diesen Artikel der Redaktion als fehlerhaft melden & zur Bearbeitung vormerken

   
 
 

   Weitere Begriffe : Einlagenrückgewähr | Bestandskontrolle | Garantie de Bonne Execution de Contrat

   Praxisnahe Definitionen

Nutzen Sie die jeweilige Begriffserklärung bei Ihrer täglichen Arbeit. Jede Definition ist wesentlich umfangreicher angelegt als in einem gewöhnlichen Glossar.

  Marketing

  Definition

  Konditionenpolitik

   Fachbegriffe der Volkswirtschaft

Die Volkswirtschaftslehre stellt einen Grossteil der Fachtermini vor, die Sie in diesem Lexikon finden werden. Viele Begriffe aus der Finanzwelt stehen im Schnittbereich von Betriebswirtschafts- und Volkswirtschaftslehre.

  Investitionsrechnungen

  Marktversagen

  Umsatzsteuer

   Beliebte Artikel

Bestimmte Erklärungen und Begriffsdefinitionen erfreuen sich bei unseren Lesern ganz besonderer Beliebtheit. Diese werden mehrmals pro Jahr aktualisiert.

  Cash Flow

  Bausparen

  Fremdwährungskonto


     © 2023-2024 Wirtschaftslexikon24.com       All rights reserved.      Home  |  Datenschutzbestimmungen  |  Impressum  |  Rechtliche Hinweise
Aktuelles Wirtschaftslexikon