Empfehlungen
A   B   C   D   E   F   G   H   I   J   K   L   M   N   O   P   Q   R   S   T   U   V   W   X   Y   Z  
  Home Top 10 Fachbereiche News Hilfe & FAQ
 

Haavelmo-Theorem

Multiplikator

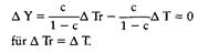
besagt, dass ein ausgeglichenes, aber wachsendes öffentliches Budget, bei dem zusätzliche Staatsausgaben für Güter und Dienstleistungen (ASt) über direkte Steuern (T) finanziert werden, einen expansiven Effekt auf das Volkseinkommen (Y) in Höhe der zusätzlichen Ausgaben (Steuern) hat. Es geht auf den norwegischen Wirtschaftswissenschaftler Trygve Haavelmo zurück, der 1945 diese Aussage mit Hilfe einer Analyse der Multiplikatorwirkungen der öffentlichen Ausgaben und Einnahmen belegt hat. Kombiniert man nämlich den Staatsausgabenmultiplikator ( Multiplikator) mit dem Steuermultiplikator, der sich als mit c = marginale Konsumquote   haavelmo-theorem haavelmo-theorem berechnen lässt, so ergibt sich: haavelmo-theorem Unter Beachtung der Voraussetzung A ASt = A T gilt dann: Aus derhaavelmo-theoremAnalyse der Multiplikatorwirkungen lässt sich ebenso ableiten, dass das Haavelmo-Theorem nur für die Variation der Ausgaben für Güter und Dienstleistungen, nicht aber für Transferzahlungen des Staates (Tr) gilt; denn: haavelmo-theorem   Einschränkend ist allerdings darauf hinzuweisen, dass das Haavelmo-Theorem auf den restriktiven Prämissen der einfachen keynesianischen Einkommens- und Beschäftigungstheorie beruht, von denen hier nur die für alle Wirtschaftssubjekte als gleich angenommene Konsumquote und die unterstellte Unabhängigkeit der privaten Investitionen von einer Variation der öffentlichen Finanzen, vor allem der Steuern, genannt seien. Insoweit muss vor einer leichtfertigen Übertragung des Haa- velmo-Theorems auf die praktizierte Finanzpolitik gewarnt werden.        Literatur: Andel, N., Finanzwissenschaft, 2. Aufl., Tübingen 1990, S. 176 f.

(= balanced budget-Theorem) auf Trygve HAAVELMO (1945) zurückgehende Feststellung, dass die Variation des Budgetvolumens genügen kann, um expansive oder kontraktive Effekte auszulösen. Da jedoch Einnahmen- und Ausgabenwirkungen einander entgegengerichtet sind, bedarf es, um ein bestimmtes Ergebnis zu erreichen, im Fall der Politik des ausgeglichenen Budgets einer stärkeren Veränderung von Ausgaben und Einnahmen als im Fall der Überschuß- oder Defizitpolitik, bei der nur über Ausgaben oder Einnahmen gesteuert wird. Zu den Staatsausgaben im Sinne des HAAVELMO-Theorems sind nur die Produktionsaufwendungen des Staates (einschl. Abschreibungen bzw. Ersatzinvestitionen) sowie die Nettoinvestionen des Staates zu zählen. Insbes. die laufenden Übertragungen rechnen nicht dazu. Das Theorem gilt ferner für eine geschlossene Volkswirtschaft, so dass eine externe Stabilisierung nicht in Betracht zu ziehen ist. Die Verhaltensannahmen des einfachsten Modells unterstellen privaten Konsum, der zum einen Teil vom verfügbaren persönlichen Einkommen proportional abhängig (marginale Konsumquote c), zum anderen Teil exogen bestimmt ist (Ca). Autonom gegeben sind ferner die privaten Investitionen (Ia), die Staatsausgaben (G), die direkten Steuern (Ta) und die laufenden Übertragungen (Za). Unter diesen Voraussetzungen ergibt sich für das Gleichgewichtseinkommen:
HAAVELMO-Theorem Für den Fall eines Budgetausgleichs
HAAVELMO-Theorem Die Ableitung der Einkommenswirkung einer Budgetvolumensänderung geht davon aus, dass die Verhaltensgleichungen im Multiplikatorprozess unverändert bleiben; die Einkommensänderung darf z.B. keine Schichten erfassen, die abweichende Konsummuster aufweisen! Als balanced budget multiplier erhält man dann:
HAAVELMO-Theorem Die äußerst restriktiven Voraussetzungen des Theorems lassen es als wenig relevant für die praktische Beurteilung der Wirkungen einer Änderung des Budgetvolumens erscheinen. Es fragt sich beispielsweise, ob im gebräuchlichen Sinn von balanced budget multiplier gesprochen werden könnte, wenn an die Stelle autonomer direkter Steuern (lump-sum-taxes) quotale Besteuerung tritt: Ein ausgeglichenes Budget würde nämlich dann erfordern (ST/SY)dY = dGa: Staatsausgaben und -einnahmen wären de facto zu endogenen Variablen geworden, und der (modifizierte) Multiplikator beschriebe die Wirkung einer Variation anderer autonomer Variabler, z.B. der Investitionen. Konjunkturpolitisch begegnet das Theo- rem denselben Vorbehalten wie der Staatsausgabenmultiplikator. Um größere Wirklichkeitsnähe zu erreichen, müßte schließlich auch eine aufwendigere Modellstruktur unterstellt werden; insbes. wäre die Nachfrageorientierung des keynesianischen Modellansatzes um Angebotsaspekte (in Form einer Berücksichtigung der Produktionsverhältnisse und des Unternehmerverhaltens) zu erweitern. Literatur: Zinunermann, H., Henke, K.-D. (1994). Richter, R., Schlieper, U., Friedmann, W. (1981)

Vorhergehender Fachbegriff: Haager Schiedsgerichtshof | Nächster Fachbegriff: Haben



  Diesen Artikel der Redaktion als fehlerhaft melden & zur Bearbeitung vormerken

   
 
 

   Weitere Begriffe : dynamische Bilanzauffassung | Direkter Import | Privater Veräußerungsgewinn

   Praxisnahe Definitionen

Nutzen Sie die jeweilige Begriffserklärung bei Ihrer täglichen Arbeit. Jede Definition ist wesentlich umfangreicher angelegt als in einem gewöhnlichen Glossar.

  Marketing

  Definition

  Konditionenpolitik

   Fachbegriffe der Volkswirtschaft

Die Volkswirtschaftslehre stellt einen Grossteil der Fachtermini vor, die Sie in diesem Lexikon finden werden. Viele Begriffe aus der Finanzwelt stehen im Schnittbereich von Betriebswirtschafts- und Volkswirtschaftslehre.

  Investitionsrechnungen

  Marktversagen

  Umsatzsteuer

   Beliebte Artikel

Bestimmte Erklärungen und Begriffsdefinitionen erfreuen sich bei unseren Lesern ganz besonderer Beliebtheit. Diese werden mehrmals pro Jahr aktualisiert.

  Cash Flow

  Bausparen

  Fremdwährungskonto


     © 2023-2024 Wirtschaftslexikon24.com       All rights reserved.      Home  |  Datenschutzbestimmungen  |  Impressum  |  Rechtliche Hinweise
Aktuelles Wirtschaftslexikon